Soptq
Follow
Probably a full-stack, mainly focusing on Distributed System / Consensus / Privacy-preserving Tech etc. Decentralization is a trend, privacy must be protected.
75
Followers
2
Followings
Patron
Home
Archives
cpp-language
Latest
Hottest
Most Commented
编写你自己的内存分配器
在这篇文章中我将带着大家实现一个自己的内存分配器。这个内存分配器 十分简单 ,它旨用于帮助大家对操作系统内部的内存分配过程有更深的理解。所以它并不会很高效。简单的说,这个内存分配器 只是能用 (Just works)。 我们主要会使用 C 语言来进行编程。但在编程前…
system
5 min
5 years ago
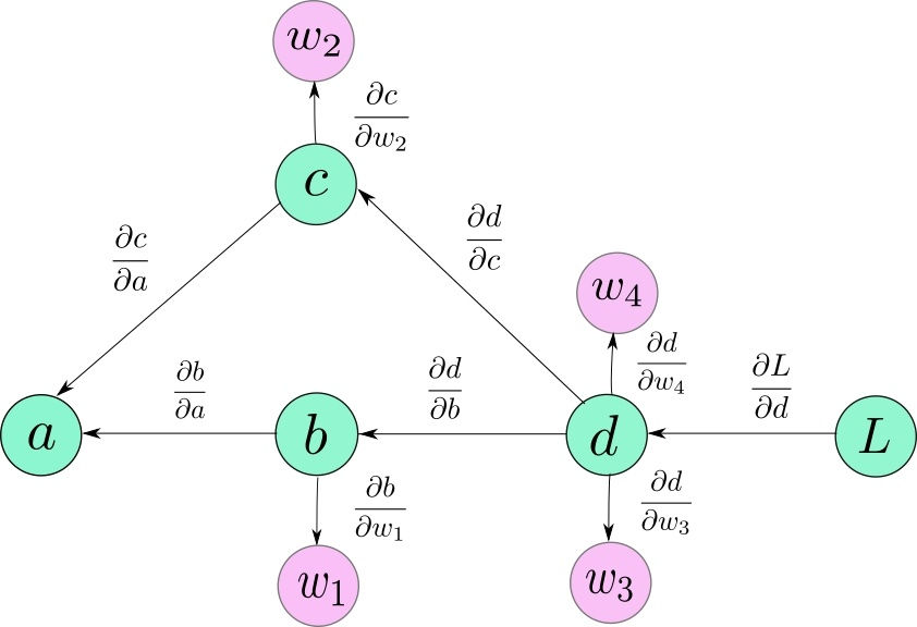
简易自动求导机
很久很久以前,当计算机还不普及的时候,对一个复杂函数的求导一定是众多学者的噩梦之一。试想,也许面对一个三元多项式函数时,你还可以游刃有余地对每一个变量求导数,但当函数被拓展到成千上万元、成千上万项的时候,你还有信心求的出来导吗?于是,随着计算机的普及…
c-language
3 min
6 years ago
Ownership of this blog data is guaranteed by blockchain and smart contracts to the creator alone.
Blockchain ID
#50114
Owner
0x7f2436d628137a1a4f07631b1e09e37455f4adae
Transaction Hash
Creation 0x68f8a385...593c9498ac
Last Update 0xf3a5ed27...d1f60f5f9a
IPFS Address
ipfs://bafkreib5vihzsgezzbuy4kal3sujubymnpjdpixyppb6q645llh3trf7cq